10. fejezet
Karboxil-vegyületek
Karbonsavak és származékok

Abban különböznek az aldehidektõl és a
ketonoktól, hogy az egyik szubsztituens nem C vagy H
(többnyire Cl, O vagy N, de lehet F, Br, I, S, P, más is)
 |
karbonsav |
| észter |
| anhidrid |
| sav-klorid |
| savamid |
| nitril |
Karbonsavak nómenklatúrája
- alkánsav
ha a -COOH része a fõláncnak és ez a
fõcsoport (1-es helyszám)
- cikloalkánkarbonsav
ha a -COOH nem része a fõláncnak
1-es helyzetben van
- triviális nevek
hangyasav (metánsav)
ecetsav (etánsav)
az elõtagok ugyanazok, mint az aldehidek esetében
- acilcsoport-nevek
néhány származék elnevezéséhez
formil (metanoil)
acetil (etanoil)
Karboxil-származékok nómenklatúrája
- sav-halogenidek
acil-halogenid
elõtagként haloformil csoport
- savanhidridek
anhidrid utótag
savanhidrid
- savamidok
alkásavnamid (-amid utótag)
a N-en lévõ szubsztituenseket N-elõtaggal jelöljük
a helyszámuk helyett
- sav-nitrilek
alkán-nitril (-nitril utótag)
- karboxilát-sók
fém-alkanoát (-oát utótag az anionnak)
- észterek
alkil-alkanoát
az alkilcsoport az O-hez kapcsolódik
az alkanoát analóg a karboxilát-sókhoz
Nómenklatúra példák
etil-4-pentenoát
N,N-dimetil-3-acetil-benzamid
Karbonsavak szerkezete és tulajdonságai
- igen poláris csoport hidrogénkötéssel
a forráspontjuk magas
(hangya sav, f.p. 100.7o)
Karbonsavak savassága
- az alkoholoknál erõsebb savak
Ka ~ 10-5 (pKa ~ 5)
(alkohol pKa értékek 15-18 között)
- a karbonilcsoport elektronvonzó hatása tovább
polarizálja az O-H kötést, így az könnyebben
ionizálódik
- a karboxilátion rezonanciával stabilizálódik
- szubsztituens effektus
elektronvonzó csoportok (mint pl. Cl) növelik a savasságot
Karbonsavak szintézise
- oxidáció
alkil-aromás vegyületek KMnO4-tal benzoesavvá
primer alkoholok CrO3-tal és
aldehidek Tollen-reagenssel (Ag+) karbonsavvá
- nitrilek hidrolízise
alkil-halogenidekbõl SN2 szubsztítúcióval
nitrilt,
majd azt követõen sav vagy bázis katalizált hidrolízissel
savat

- Grignard-reagensbõl CO2-dal

Nukleofil acil szubsztitúció
- a karboxil-származékok fõ reakciója
- nukleofil addícióval indul, majd szubsztitúcióvá
válik a kilépõ csoport távozásával
- a tetraéderes köztitermék olyan, mint a karbonil-addíciók
esetében
- a termék gyakran másik karboxil-származék
(attól függ, milyen a nukleofil)
- más nukleofil szubsztitúcióhoz képest:
SN2 - szimultán kapcsolódik a nukleofil, miközben
a kilépõ csoport távozik
SN1 - elõször a kilépõ csoport távozik,
majd utána kapcsolódik a nukleofil (kation intermedier)
acil - elõször kapcsolódik a nukleofil, majd ezután
távozik a kilépõ csoport (anion intermedier)
Savszármazékok reaktivitása acil nukleofil szubsztitúcióban
- a jobb távozó csoport növeli a reakcióképességet
sav-halogenidek > savanhidridek > észterek > amidok
- a reakcióképesebb származék könnyen
átalakítható a többivé
savhalogenidbõl bármelyik elõállítható
- szintézisek tipikus kiindulási anyaga
- minden származék elhidrolizálható karbonsavvá
(sav a nukleofil - sav vagy bázis katalizátor)
Példa acil nukleofil szubsztitúcióra

Karbonsavak reakciói
- redukció LiAlH4-del primer alkohollá
- sav-kloriddá alakítás SOCl2-vel
egyéb származékokká alakítás
a sav-kloridból
- észterré alakítás alkohollal savas katalízissel
(Fisher-féle észteresítés)
- megfordítható egyensúlyi folyamat
eltolható jobb felé alkoholfelesleggel
eltolható balra vízfelesleggel (hidrolízis)
- teljes mechanizmus

Savhalogenidek átalakítása más karboxil-származékokká
- a sav-halogenidek a legreakcióképesebb karboxil-származékok
- minden más származékká átalakíthatók
 |
alkohol –> észter |
| amin –> amid |
| víz –> sav |
| karboxilát –> anhidrid |
Savanhidridek átalakítása más karboxil-származékokká
- a második legreakcióképesebb származékok
- savhalogenideket kivéve bármely származékká
alakíthatók
- mégis általában a sav-kloridok elõnyösebbek
Észterek szintézise
- savhalogenidbõl és alkoholból
- savból és alkoholból (Fisher-féle észteresítés)
- karboxilátból (nukleofil) SN2 reakcióval

Észter hidrolízis
- vízzel (nukleofil) sav vagy bázis katalízissel
- a sav-katalizált hidrolízis pontosan a Fisher-észteresítés
fordítottja (azonos mechanizmus)
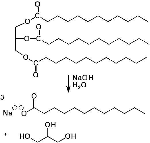
- a báziskatalizált hidrolízist gyakran hívják
elszappanosításnak
a szappanosítás nem megfordítható folyamat,
mert karboxilátsó keletkezik

- a szappanok hosszú szénláncú (zsír-)
savak sói (C8 - C20)
a zsírok zsírsavak glicerin- (propán-1,2,3-triol)
észterei

Észterek egyéb reakciói
- LiAlH4-des reakció primer alkoholt ad (plusz az észter-alkohol)
(egy H- nukleofil elõször szubsztitúcióban
aldehidet ad, majd
még egy H- addícióban alkoholt)
- Grignard-reakció tercier alkoholt ad (dupla addíció)
(egy RMgX nukleofil elsõ lépésben szubsztítucióban
vesz részt - keton intermedier,
majd egy másik RMgX nukleofil addícióval alkohol terméket
hoz létre)
Amidok szintézise
- sav-klorid plusz ammónia (vagy amin)
Amidok reakciói
- hidrolízissel savat kapunk - hosszabb forralást igényel
a fehérjéket amidkötések tartják össze
- LiAlH4-des redukció aminná
Nitrilek szintézise
- SN2 reakcióban alkil-halogenidekbõl CN--dal
- amidok dehidratálásával
Nitrilek reakciói
- nukleofil addícióban hasonlóan viselkedik, mint
a karbonilcsoport (poláris hármas kötés)
- hidrolízis karbonsavvá
- LiAlH4-des redukció aminná
- Grignard-reagenssel ketont ad
Észterek és amidok polimerei
- többlépéses reakcióban többfunkciós
monomerekbõl keletkeznek
- egy disav és egy diamin reakciójában poliamid
(nylon) keletkezik
 |
kevlar poliamid
|
- a poliészterek disavakból és dialkoholokból
készülnek
- ez a fajta polimerizáció alapjában különbözik
a láncreakciós polimerizációtól
- a láncreakcióban néhány reaktív
hely növeli a láncokat nagy sebességgel,
- míg itt reakciólépésenként növekednek
a láncok lassan
Tiol-észterek
- A természet gyakran használ kéntartalmú
csoportot mint kiváló nukleofilt (és távozó
csoportot)
- a koenzimA tiolcsoportot tartalmaz (CoA-S-H)
- az acetil CoA úgy viselkedik, mint az acetil-klorid
pl. acetil CoA + amin acetamidot ad
Összefoglalás: karboxil-származékok átalakulásai

Összefoglalás: hidrid-redukciók

Összefoglalás: Grignard-reakciók

Ismeretanyag
- karbonsavak és származékok elnevezése
- különbözõ funkciós csoportok savasságának
megállapítása
- a szubsztituens savasságra gyakorolt hatásának
megállapítása
- mikor használjunk Grignard-reagenst és mikor nitrilen
keresztüli karbonsav szintézist
- az oxidációs savelõállítás
módszereinek ismerete
- karboxil-származékok relatív reaktivitási
sorrendjének ismerete
- karboxil-származékok egymásba alakítása
nukleofil acil szubsztitúciós reakciókkal
- a nukleofil acil szubsztitúció mechanizmusa, savkatalízissel
vagy anélkül
- a nukleofil acil szubsztitúció összehasonlítása
az alifás szubsztitúcióval és a nukleofil karbonil
addícióval
- a LiAlH4-des redukciós reakciók ismerete
- a Grignard-reagens és különféle karboxilvegyületek
reakcióinak ismerete
Vissza